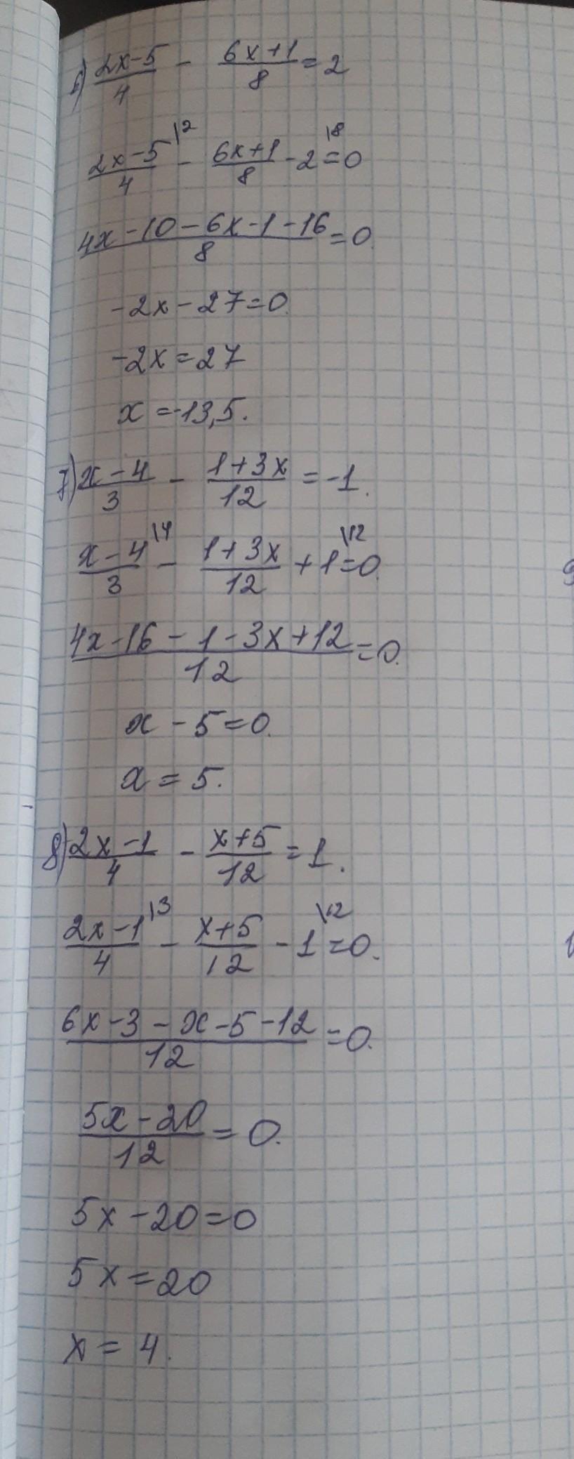
2x-5 6x+1
1) ——— - ——— = 2
4 8
x-4 1+3x
2) ——— - ——— = -1
3 12
3) 2x-1 x+5
——— - ——— = 1
4 12
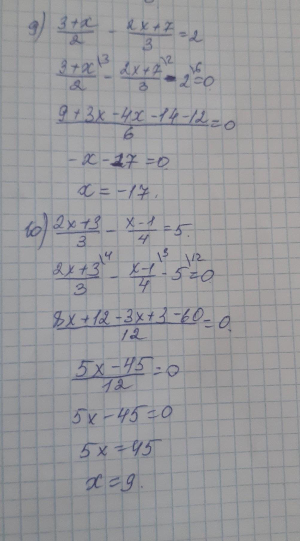
3+x 2x+7
4) ——— - ——— = 2
2 3
2x+3 x-1
5) ——— - ——— = 5
3 4
с пояснением,а не просто ответы
Приложения:

vorobey82:
еще нужно? Или уже все
Ответы
Ответ дал:
1
Ответ:
см фото,,,,,,,,,,,,,,,,,,,,,,,,,,,,,,,,,,
Приложения:


Ответ дал:
1
Ответ:
Пошаговое объяснение:
Приводим каждое уравнение к общему знаменателю
Приложения:

Вас заинтересует
2 года назад
3 года назад
8 лет назад
9 лет назад