ПОЖАЛУЙСТА ПОМОГИТК !!!!!!!Найдите все значения параметра а при каждом из которых один из корней уравнения в два раза больше другого 25^x-(125^(a-1)+5^(2a-3))5^x+5^(5a-6)=0
Приложения:

BMW52:
а=3
Ответы
Ответ дал:
2
Ответ:
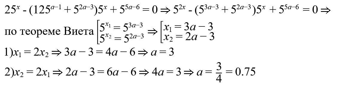
а={0.75;3}
Пошаговое объяснение:
////////////////////////////
Приложения:

Вас заинтересует
2 года назад
3 года назад
3 года назад
8 лет назад
8 лет назад
9 лет назад