• Предмет: Математика
  • Автор: armen1549
  • Вопрос задан 8 лет назад

Помогите, пожалуйста.

Приложения:

armen1549: С объяснением
tamarabernukho: Через тригонометрическую замену попробуйте
guvanch021272: Решал двумя разными способами. Ответ один и тот же- нет решения. Или я ошибаюсь?
tamarabernukho: Ответ такой должен получиться https://ibb.co/ZN1rZMT
guvanch021272: понял ошибку

Ответы

Ответ дал: guvanch021272
1

Ответ:

Пошаговое объяснение:

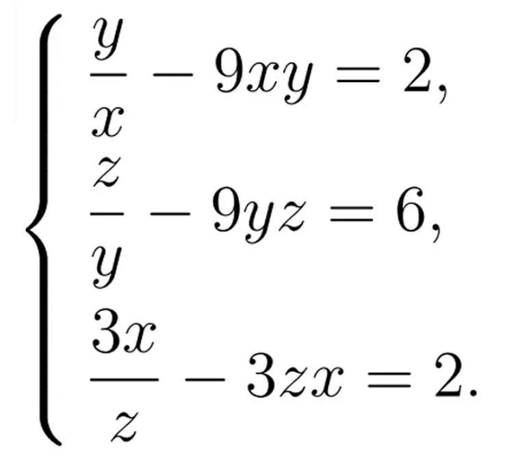
3x=tga, 3y=tgb, z=tgc, a,b,c∈(-π/2; π/2)

tgb/tga-tgbtga=2⇒tgb=2tga/(1-tg²a)=tg2a⇒b=2a+kπ⇒3y=tg2a

tgc/tgb-tgctgb=2⇒tgc=2tgb/(1-tg²b)=tg2b⇒c=2b+nπ⇒z=tg4a

tga/tgc-tgatgc=2⇒tga=2tgc/(1-tg²c)=tg2c⇒a=2c+mπ

Так как a,b,c∈(-π/2; π/2), то m,n,k=±1

a=2c±π

b=2a±π

c=2b±π

a=2c±π=2(2b±π)±π=2(2(2a±π)±π)±π=8a±4π±2π±π

a={±π/7; ±3π/7; ±5π/7; ±π}

Но x≠0⇒a≠ ±π⇒a={±π/7; ±3π/7; ±5π/7}

Проверяя полученные ответы и учитывая ограничения введённые для а имеем

3x=tga, 3y=tg2a, z=tg4a, a={±π/7; ±2π/7; ±3π/7}

x=(1/3)tga, y=(1/3)tg2a, z=tg4a, a={±π/7; ±2π/7; ±3π/7}

Вас заинтересует