• Предмет: Математика
  • Автор: Аноним
  • Вопрос задан 8 лет назад

#14 Школьный актовый зал к празднику украсили связками воздушных шаров, по 3 разноцветных шара в каждой связке. Какие это могли быть связки, если шары были красные, синие, жёлтые и зелёные? с помощью условных обозначений запиши варианты связок.​

Ответы

Ответ дал: vnn261198
0

Ответ:

КСЖ

КСЗ

ЖСЗ

КЖЗ

Пошаговое объяснение:

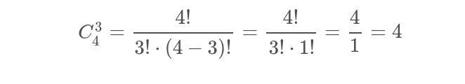
Из формулы числа сочетаний получаем 4 варианта

красный К

синий С

зеленый З

желтый Ж

Приложения:
Вас заинтересует