• Предмет: Математика
  • Автор: slakomov462
  • Вопрос задан 8 лет назад

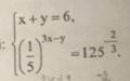
решите системы уравнений

Приложения:

Ответы

Ответ дал: Аноним
1

Ответ:

x=1   y=5

Пошаговое объяснение:

x+y=6

5^(y-3x)=(5^3)^(2/3)

x+y=6

5^(y-3x)=5^2

x+y=6        x+y=6                                         x+y=6   y=6-x   y=6-1=5

y-3x=2      3x-y=-2   сложим уравнения   4x=4    x=1


slakomov462: что значит знак ^?
MizoriesKun: Степень
Вас заинтересует