Добрый день! Помогите решить
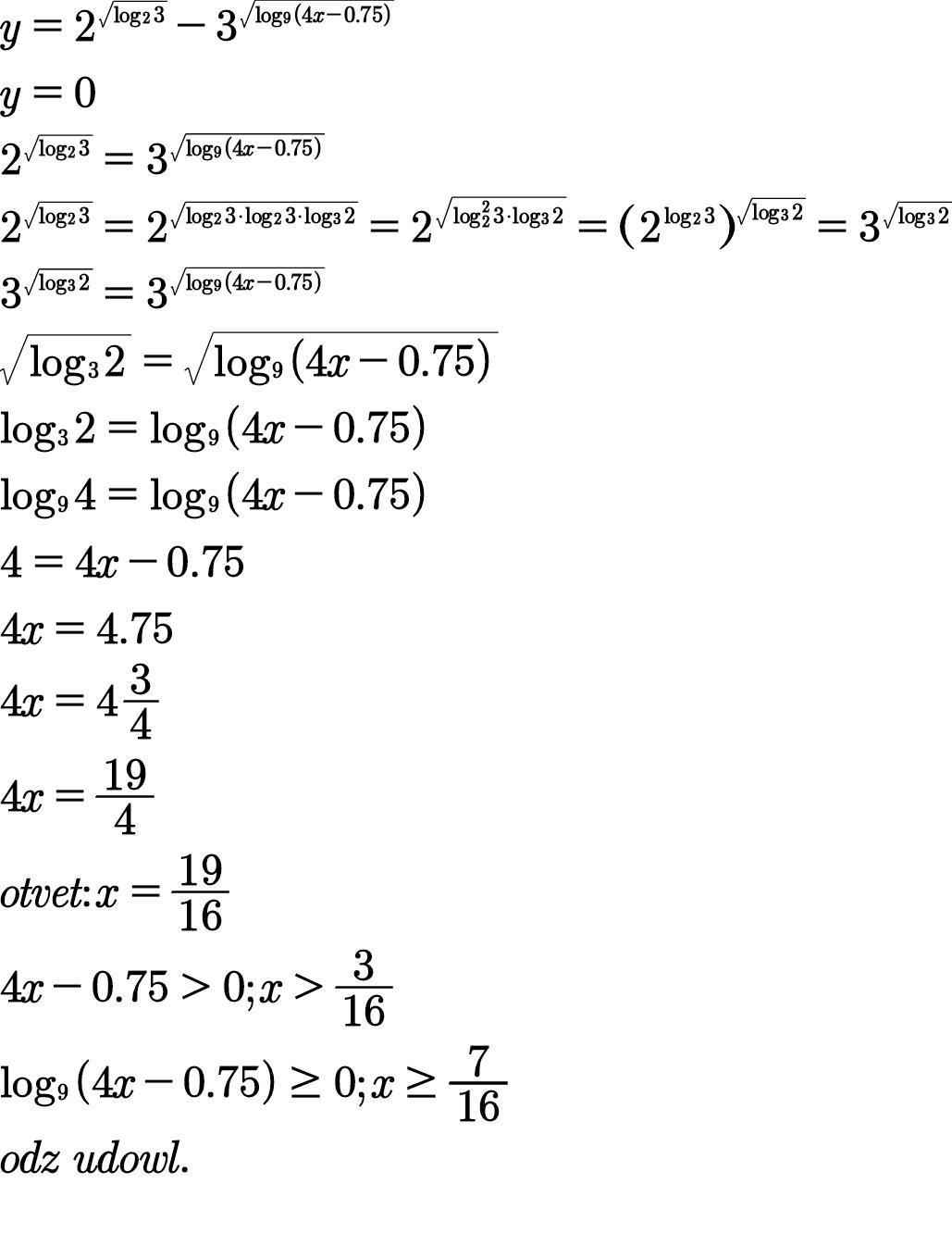
Необходимо найти нули функции
y= 2^Корень квадратный из log2 (3) - 3^Корень квадратный log9 (4x-0.75)
Приложения:

tamarabernukho:
19/16
Ответы
Ответ дал:
4
Ответ:
19/16
Пошаговое объяснение:
................................
Приложения:

Вас заинтересует
2 года назад
2 года назад
3 года назад
3 года назад
8 лет назад
8 лет назад
9 лет назад
9 лет назад