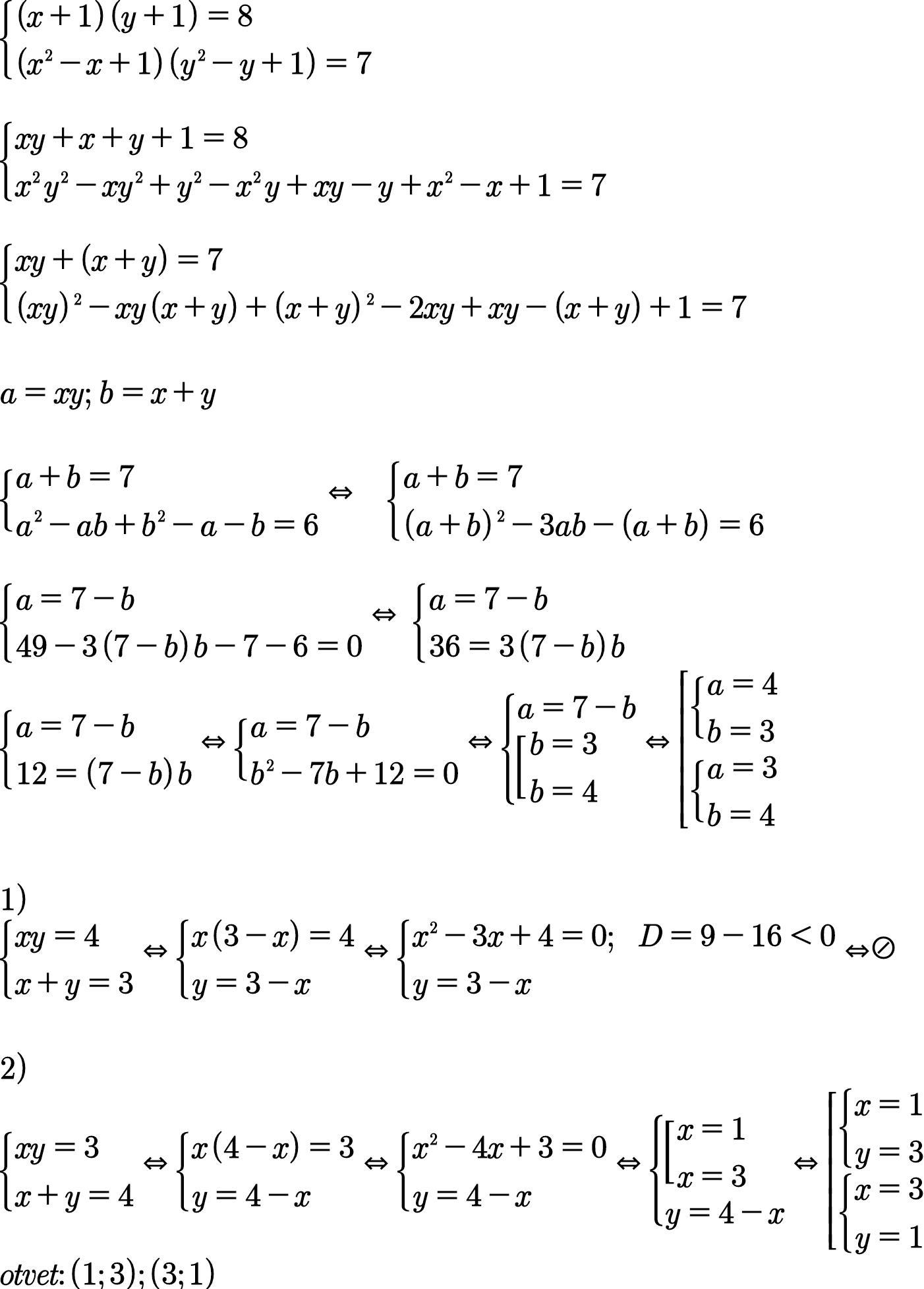
Раскрыть скобки, сделать замену и решить систему уравнений

eva741212:
(1;3):(3;1)
а подробнее?)
Ответы
Ответ дал:
3
Ответ:
(1;3);(3;1)
Объяснение:
Решение оформлено в приложении
MathMagic
Приложения:
Вас заинтересует
2 года назад
3 года назад
3 года назад
9 лет назад
10 лет назад
10 лет назад