• Предмет: Математика
  • Автор: alinuromirkul48
  • Вопрос задан 8 лет назад

Помогите пж тому 15 баллов

Приложения:

Ответы

Ответ дал: Orangesss
2

Ответ:

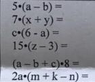
1)\ 5(a-b)=5a-5b;\\2)\ 7(x+y)=7x+7y;\\3)\ c(6-a)=6c-ac;\\4)\ 15(z-3)=15z-45;\\5)\ (a-b+c)\cdot8=8a-8b+8c;\\6)\ 2a(m+k-n)=2am+2ak-2an.

Вас заинтересует