• Предмет: Физика
  • Автор: oksankk
  • Вопрос задан 11 лет назад

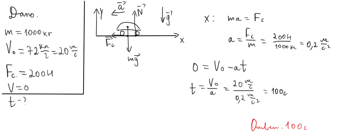
Автомобиль массой 1 т движется со скоростью 72 км/ч. Определите, через какое время он остановится, если выключить двигатель. Средняя сила сопротивления движению 200 Н. 

Ответы

Ответ дал: nikolac
0
Решение на картинке.
Приложения:
Ответ дал: oksankk
0
спасибо
Ответ дал: nikolac
0
Пожалуйста.
Вас заинтересует