• Предмет: Алгебра
  • Автор: sjdj33wjwejwj
  • Вопрос задан 8 лет назад

помогите пожалуйста, решить нужно только с использованием переменной t

Приложения:

eva741212: проще разложить на множители

Ответы

Ответ дал: mathkot
0

Ответ:

x_{1} = -1

x_{2} = 2

x_{3} = -2

Объяснение:

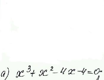
x^{3} + x^{2}  -4x - 4 = 0

x^{2}(x + 1)   -4 (x + 1) = 0

(x + 1)(x^{2} - 4) = 0

(x + 1)(x - 2)(x + 2) = 0

x_{1} = -1

x_{2} = 2

x_{3} = -2

Вас заинтересует