помогите решить уравнение,если в уравнении больше 1-го корня в ответе напишите сумму всех его корней
Приложения:

Ответы
Ответ дал:
0
Ответ:
x=-1
Пошаговое объяснение:
/////////////////////////
Приложения:

Ответ дал:
0
Ответ:
-1
Пошаговое объяснение:
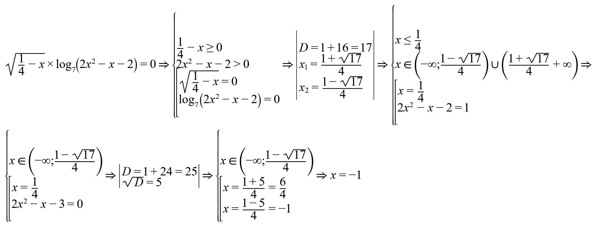
√(1/4-x)*log₇(2x²-x-2)=0;
√(1/4-x)=0; x₁=1/4.
7⁰=2x²-x-2; ⇒ 2x²-x-2=1; ⇔ 2x²-x-3=0; D=1+24=25;
x₂₃=(1±√25)/4; x₂=3/2; x₃=-1
ОДЗ: 1/4-x≥0; ⇔ x≤1/4; x∈(-∞; 1/4]
2x²-x-2>0; D=1+16=17; x₁₂=(1±√17)/4; x∈(-∞;(1-√17)/4] ∪ [(1±√17)/4; +∞)
x∈(-∞; 1/4] ∩ (-∞;(1-√17)/4] ∪ [(1±√17)/4; +∞);
ОДЗ: x∈(-∞;(1-√17)/4].
В область допустимых значений входит только один корень: x=-1
Вас заинтересует
2 года назад
2 года назад
3 года назад
3 года назад
8 лет назад
8 лет назад
9 лет назад