• Предмет: Математика
  • Автор: miravorokova231
  • Вопрос задан 8 лет назад

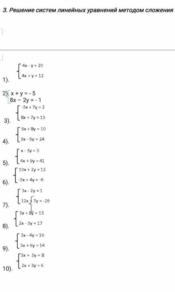
решение системных уравнений методом сложения.
помогите пожалуйста хотя бы с первыми 5 ,чтобы я поняла как ,а то я смогла сделать только 1,заранее благодарю​

Приложения:

Ответы

Ответ дал: iramazurk
1

Ответ:

Пошаговое объяснение:

2)

х + у = -5

8х - 2у = -1

9х - у = -6

х + у = -5

9х - у = -6

х = -5 - у

1)

9х - у = -6

9(-5 - у) - у = -6

-45 - 9у - у = -6

-9у - у = -6 + 45

-10у = 39

у = 39 : (-10)

у = -3,9

2)

х = -5 - у

х = -5 - (-3,9)

х = -5 + 3,9

х = -1,1

Ответ: (-1,1; -3,9)

3)

-5х + 7у = 2 | * (-1)

8х + 7у = 15

5х - 7у = -2

8х + 7у = 15

13х = 13

8х + 7у = 15

1)

13х = 13

х = 13 : 13

х = 1

2)

8х + 7у = 15

8*1 + 7у = 15

8 + 7у = 15

7у = 15 - 8

7у = 7

y = 7 : 7

y = 1

Ответ: (1; 1)

4)

9х + 8у = 10

9х - 6у = 24

18х + 2у = 34 | : 2

9х + 8у = 10

9х + у = 17

9х + 8у = 10

у = 17 - 9х

9х + 8у = 10

1)

9х + 8у = 10

9х + 8(17 - 9х) = 10

9х + 136 - 72х = 10

9х - 72х = 10 - 136

-63х = -126

х = -126 : (-63)

х = 2

2)

у = 17 - 9х

у = 17 - 9*2

у = 17 - 18

у = -1

Ответ: (2; -1)

5)

х - 3у = 5

4х + 9у = 41

5х + 6у = 46

х - 3у = 5

5х + 6у = 46

х = 5 + 3у

1)

5х + 6у = 46

5(5 + 3у) + 6у = 46

25 + 15у + 6у = 46

15у + 6у = 46 - 25

21у = 21

у = 21 : 21

у = 1

2)

х = 5 + 3у

х = 5 + 3*1

х = 5 + 3

х = 8

Ответ: (8; 1)

6)

10х + 2у = 12 | : 2

-5х + 4у = -6

5х + у = 6

-5х + 4у = -6

5у = 0

5х + у = 6

1)

5у = 0

у = 0 : 5

у = 0

2)

5х + у = 6

5х + 0 = 6

5х = 6

х = 6 : 5

х = 1,2

7)

3х - 2у = 1

12х + 7у = -26

15х + 5у = -25 | : 5

3х - 2у = 1

3х + у = -5

3х - 2у = 1

у = -5 - 3х

3х - 2у = 1

1)

3х - 2у = 1

3х - 2(-5 - 3х) = 1

3х + 10 + 6х = 1

3х + 6х = 1 - 10

9х = -9

х = -9 : 9

х = -1

2)

у = -5 - 3х

у = -5 - 3 * (-1)

у = -5 + 3

у = -2

Ответ: (-1; -2)

8)

3х + 8у = 13

2х - 3у = 17

5х + 5у = 30 | : 5

3х + 8у = 13

х + у = 6

3х + 8у = 13

х = 6 - у

3х + 8у = 13

1)

3х + 8у = 13

3(6 - у) + 8у = 13

18 - 3у + 8у = 13

-3у + 8у = 13 - 18

5у = -5

у = -5 : 5

у = -1

2)

х = 6 - у

х = 6 - (-1)

х = 6 + 1

х = 7

Ответ: (7; -1)

9)

3х - 4у = 16

5х + 6у = 14

8х + 2у = 30 | : 2

3х - 4у = 16

4х + у = 15

3х - 4у = 16

у = 15 - 4х

3х - 4у = 16

1)

3х - 4у = 16

3х - 4(15 - 4х) = 16

3х - 60 + 16х = 16

3х + 16х = 16 + 60

19х = 76

х = 76 : 19

х = 4

2)

у = 15 - 4х

у = 15 - 4*4

у = 15 - 16

у = -1

Ответ: (4; -1)

10)

3х + 5у = 8 | * 3

2х + 3у = 6 | * (-5)

9х + 15у = 24

-10х - 15у = -30

-х = -6

9х + 15у = 24

1)

-х = -6

х = 6

2) 9х + 15у = 24

9*6 + 15у = 24

54 + 15у = 24

15у = 24 - 54

15у = -30

у = -30 : 15

у = -2

Ответ: (6; -2)

Вас заинтересует