• Предмет: Математика
  • Автор: Аноним
  • Вопрос задан 8 лет назад

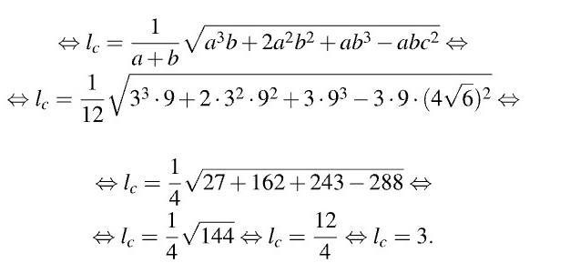
ПОДРОБНООООООО! Потому что я не понимаю как они и что, извлекли из корня ​
Я считать не умею, поэтому подробно

Приложения:

Ответы

Ответ дал: ludmilaksenija2005
0

Пошаговое объяснение:

Решение на фото

______________

Приложения:

ludmilaksenija2005: =корень((3^3×9+2×9×9^2+3×9^1×9^2-3×9×4^2×(корень6)^2)=
ludmilaksenija2005: =корень(3(3^3+2×9^2+3×9^2-3×16×6))=
Аноним: ладно уже
Аноним: проехали
ludmilaksenija2005: ошиблась не3 выносим а 9 в комментарии выше
Аноним: вы видели мой вопрос?
Аноним: это я так считаю
Аноним: я не умею считать
ludmilaksenija2005: 9 за скобки выносим. корень из 9 =3.
Аноним: другой вопрос не в тему. почему когда меняем tg на ctg, то ctg становится отрицательным?
Вас заинтересует