• Предмет: Алгебра
  • Автор: thespartaplay294
  • Вопрос задан 8 лет назад

решить систему способом алгеброического сложения​

Приложения:

Ответы

Ответ дал: Удачник66
0

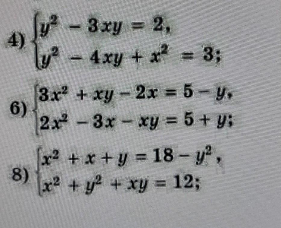
4)

{ y^2 - 3xy = 2

{ y^2 - 4xy + x^2 = 3

Умножаем 1 уравнение на -1:

{ -y^2 + 3xy = -2

{ y^2 + x^2 - 4xy = 3

Складываем уравнения:

x^2 - xy = 1

y = (x^2 - 1)/x = x - 1/x

Подставляем в 1 уравнение:

(x - 1/x)^2 - 3x(x^2 - 1)/x - 2 = 0

x^2 - 2x*1/x + 1/x^2 - 3x^2 + 3 - 2 = 0

-2x^2 - 2 + 1/x^2 + 1 = 0

Умножаем всё на x^2 и на -1, избавляемся от дробей:

2x^4 - x^2 - 1 = 0

(x^2 -1)(2x^2 + 1) = 0

2x^2 + 1 > 0 при любом x, поэтому эту скобку можно удалить:

x^2 - 1 = 0

x1 = -1; y1 = x - 1/x = -1 - 1/(-1) = -1 + 1 = 0

x2 = 1; y2 = x - 1/x = 1 - 1/1 = 0

Ответ: (-1; 0); (1; 0)

6)

{ 3x^2 + xy - 2x = 5 - y

{ 2x^2 - xy - 3x = 5 + y

Складываем уравнения

5x^2 - 5x = 10

Делим все на 5 и переносим налево

x^2 - x - 2 = 0

(x+1)(x-2) = 0

x1 = -1

3(-1)^2 - 1y - 2(-1) = 5 - y

3 - y + 2 = 5 - y

5 = 5

Это верно при любом y.

x2 = 2

3*4 + 2y - 2*2 = 5 - y

12 + 2y - 4 = 5 - y

3y = 9 - 12 = -3

y = -1

Ответ: 1) x1 = -1; y1 - любое; 2) x2 = 2; y2 = -1

8)

{ x^2 + x + y = 18 - y^2

{ x^2 + y^2 + xy = 12

В 1 уравнении перенесем y^2 влево. 2 уравнение умножим на -1:

{ x^2 + y^2 + x + y = 18

{ -x^2 - y^2 - xy = -12

Складываем уравнения:

x + y - xy = 18 - 12 = 6

y(1 - x) = 6 - x

y = (6-x)/(1-x)

Подставляем в 1 уравнение:

x^2+\frac{(6-x)^2}{(1-x)^2}+x+\frac{6-x}{1-x} -18=0

Домножаем всё на знаменатель, избавляемся от дробей:

x^2(1-x)^2 + (6-x)^2 + x(1-x)^2 + (6-x)(1-x) - 18(1-x)^2 = 0

x^2(1-2x+x^2) + 36 - 12x + x^2 + x(1-2x+x^2) + 6 - 7x + x^2 - 18(1-2x+x^2) = 0

x^2 - 2x^3 + x^4 + 36 - 12x + x^2 + x - 2x^2 + x^3 + 6 - 7x + x^2 - 18 + 36x - 18x^2 = 0

x^4 - x^3 - 17x^2 + 18x + 42 = 0

Это уравнение имеет 4 иррациональных корня.

Ответ:

x1 ≈ -3,87; y1 = (6-x)/(1-x) ≈ 2,026

x2 ≈ -1,19; y2 = (6-x)/(1-x) ≈ 3,283

x3 ≈ 2,71; y3 = (6-x)/(1-x) ≈ -1,924

x4 ≈ 3,36; y4 = (6-x)/(1-x) ≈ -1,119

Похоже, в системе опечатка. Слишком сложно по сравнению с 4) и 6).

Вас заинтересует