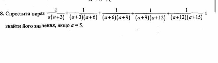
Срочно. Упростить выражение
Приложения:

mathgenius:
( 1/a - 1/(a+15) ) / 3
Ответы
Ответ дал:
0
Ответ:
Вас заинтересует
2 года назад
2 года назад
3 года назад
3 года назад
8 лет назад
8 лет назад
9 лет назад