• Предмет: Алгебра
  • Автор: svydkaadara07
  • Вопрос задан 8 лет назад

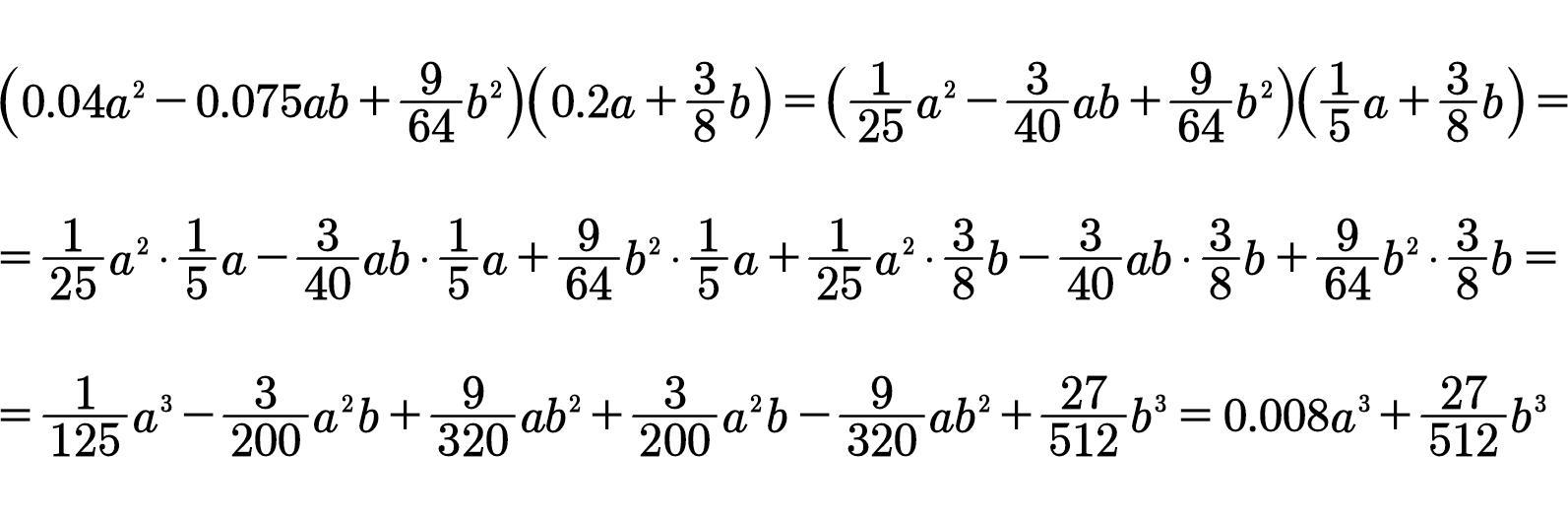
Перемножте многочлени 0, 04a2 0, 075ab +ь? 10, 2а + ь. Обери один варіант 27 512 64 5b3 0.0089 0,082? + o, oosa , o, oosa, за 0, 86 b3 3 помогите даю 80 баллов

Приложения:

Ответы

Ответ дал: tamarabernukho
1

Ответ:

Объяснение:

Решение оформлено в приложении

MathMagic

Приложения:
Вас заинтересует