• Предмет: Математика
  • Автор: leradehanova
  • Вопрос задан 8 лет назад

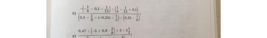
Можно под б, по действиям пожалуйста ​

Приложения:

Vlad9415351: это карма

Ответы

Ответ дал: ivan48367
0

Ответ:

............................................................

Приложения:
Ответ дал: 8286505
0

Ответ:

\frac{25}{39}

Пошаговое объяснение:

для удобства разделим на 2 части:

знаменатель

-(-\frac{1}{6}-0,1-\frac{1}{15}):(\frac{1}{6}-\frac{1}{15}+0,1)=(\frac{1}{6}+0,1+\frac{1}{15}):(\frac{1}{6}-\frac{1}{15}+0,1)=(\frac{10}{60}+\frac{6}{60}+\frac{4}{60}):(\frac{10}{60}-\frac{4}{60}+\frac{6}{60})=\frac{1}{3}:\frac{1}{5}=\frac{5}{3}

числитель:

(0,5-\frac{1}{3}-(-0,25)-\frac{1}{5}):(0,25-\frac{1}{6})=(\frac{5}{10}-\frac{1}{3}+\frac{25}{100} -\frac{1}{5}):(\frac{25}{100}-\frac{1}{6})=(\frac{30}{60}-\frac{20}{60}+\frac{15}{60} -\frac{12}{60}):(\frac{15}{60}-\frac{10}{60})=\frac{13}{60}:\frac{5}{60}=\frac{13}{60}:\frac{60}{5}=\frac{13}{5}

тогда получаем:

\frac{\frac{5}{3}}{\frac{13}{5}}=\frac{5*5}{13*3}=\frac{25}{39}

Вас заинтересует