• Предмет: Алгебра
  • Автор: nastya2006kr
  • Вопрос задан 8 лет назад

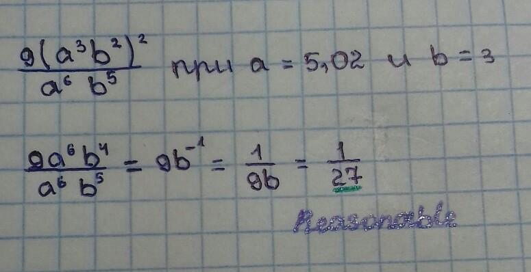
Ребята , помогите пожалуйста
Только не просто ответ , а ещё и решение по степеням и тд

Приложения:

Ответы

Ответ дал: Applegate
4

Ответ: \fbox{ 1/27      }[/tex]</strong></p><p><strong>Решение </strong><strong>на</strong><strong> фотографии</strong><strong> </strong></p><p><strong>[tex]\Huge{\color{hotpink}\mathbf{{{_{Reasonable\: }}}}}

Приложения:
Вас заинтересует