• Предмет: Алгебра
  • Автор: oksi0004
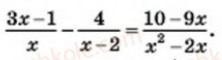
  • Вопрос задан 8 лет назад

с решением
заранее спасибо

Приложения:

Ответы

Ответ дал: Applegate
6

Ответ: х1=2; х2= -1 1/3

Решение на фотографии

\Huge{\color{hotpink}\mathbf{{{_{Reasonable\: }}}}}

Приложения:
Вас заинтересует