• Предмет: Алгебра
  • Автор: GULIZATKA
  • Вопрос задан 11 лет назад

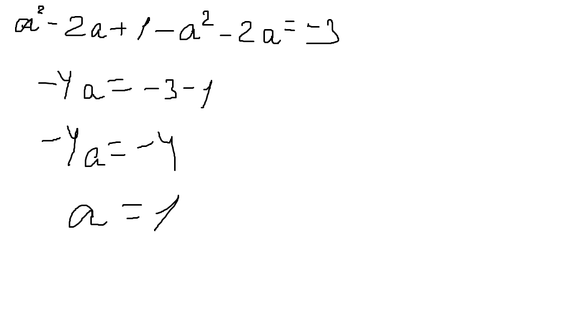
(а-1)²=а²+2а-3 решение

Ответы

Ответ дал: Ekaterina1819
0
Получится вот так :)
Приложения:
Вас заинтересует