• Предмет: Математика
  • Автор: Аноним
  • Вопрос задан 8 лет назад

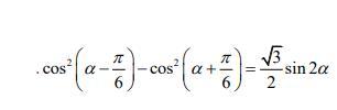
докажите равенство
докажите равенство

Приложения:

Ответы

Ответ дал: yossiraiko
1

Ответ:

Смотри приложение

Пошаговое объяснение:

Приложения:

Аноним: спасибо)
Аноним: к данной задаче есть еще один пример который нужно решить на основе вашего решения, если сможете помочь буду благодарна- ссылка на новый вопрос https://znanija.com/task/45149164
Вас заинтересует