Ответы
Ответ дал:
1
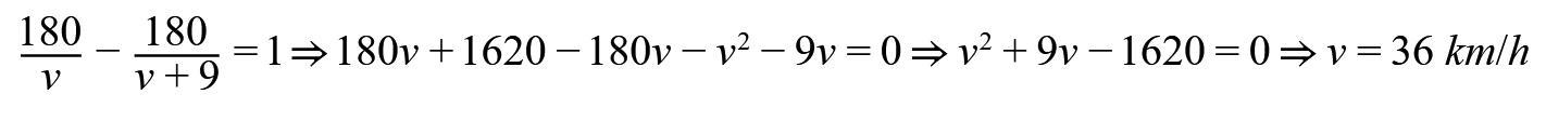
Ответ:
36
Объяснение:
/////////////////////////////////////
Приложения:

palilov243659:
-1620=36(-45)
Вас заинтересует
2 года назад
2 года назад
3 года назад
3 года назад
9 лет назад