Ответы
Ответ дал:
1
Ответ:
Приложения:

ssssssami:
извините, у вас правильно или решение ниже
Ответ дал:
1
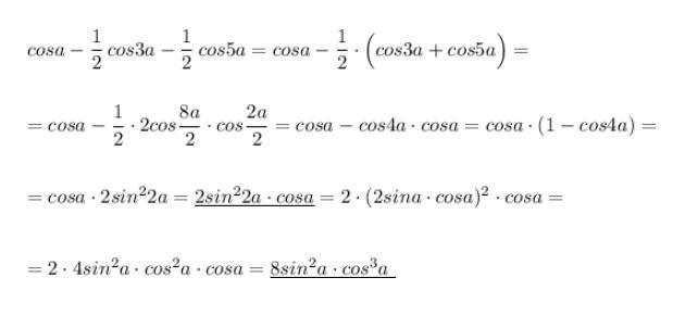
Ответ:
Объяснение:
Формула:
Вас заинтересует
2 года назад
3 года назад
3 года назад
8 лет назад
8 лет назад