• Предмет: Алгебра
  • Автор: dimaonopko2020
  • Вопрос задан 8 лет назад

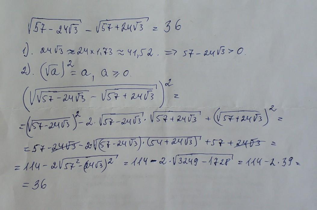
Обчисліть значення виразу \sqrt{57-24\sqrt{3} } -\sqrt{57+24\sqrt{3} }

Ответы

Ответ дал: kirichekov
1

Ответ:

= 36

Объяснение:

решение во вложении....

Приложения:

dimaonopko2020: Человеческое тебе спасибо
kirichekov: успехов вам в учёбе
Вас заинтересует