• Предмет: Алгебра
  • Автор: nastasi4918
  • Вопрос задан 8 лет назад

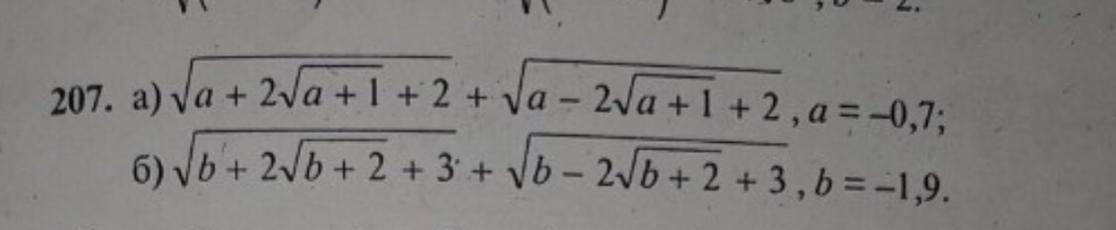
Помогите решить пожалуйста. Мне надо оба задания

Приложения:

Ответы

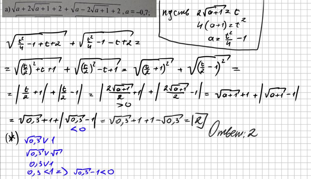
Ответ дал: Ilyazov45
1

--------------------

Ответ:

a) 2

б) 2

Приложения:
Вас заинтересует