Ответы
Ответ дал:
2
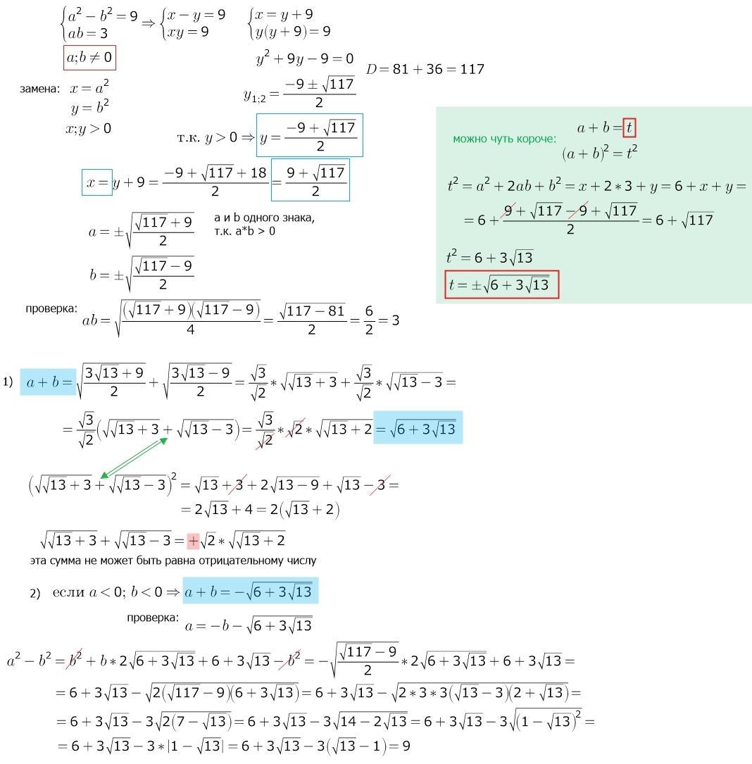
Ответ: a + b = ±√(6+3√13)
Приложения:

Аноним:
спасибо большое
Ответ дал:
1
Ответ:
a+b=±
Объяснение:
a²-b²=9=3ab
a²-b²=3ab
a/b-b/a=3
a/b=t, ab=3>0⇒a/b>0⇒t>0
t-1/t=3
t²-1=3t
t²-3t-1=0
D=13
t=(3±√13)/2, t>0⇒t=(3+√13)/2
a/b=(3+√13)/2
a=b(3+√13)/2
3=ab=b²(3+√13)/2
b²=6/(3+√13)=6(-3+√13)/4=3(√13-3)/2
a²=9+b²=9+3(√13-3)/2=3(√13+3)/2
a²+b²=3√13
2ab=6
Вас заинтересует
2 года назад
2 года назад
3 года назад
3 года назад
8 лет назад
9 лет назад
9 лет назад