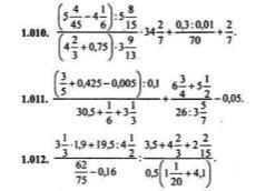
Нужен ответ с решением(желательно на листике с фото)
Приложения:

tatsach:
Какой номер надо
Ответы
Ответ дал:
2
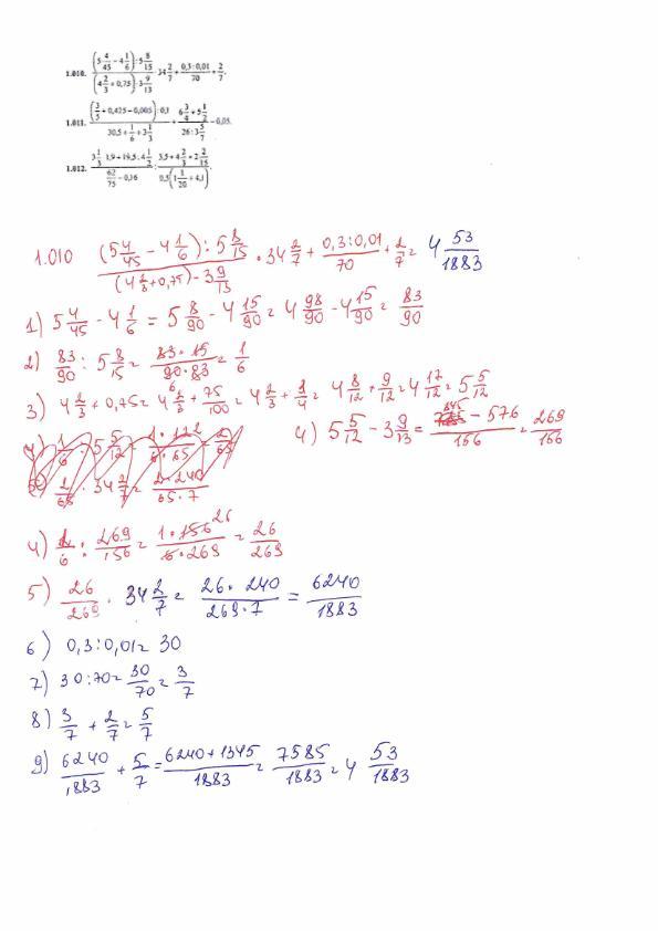
Ответ:
Пошаговое объяснение:
Приложения:

Ответ дал:
0
Ответ:
Пошаговое объяснение:
Приложения:


Вас заинтересует
2 года назад
3 года назад
3 года назад
8 лет назад
8 лет назад
9 лет назад
9 лет назад