все задания, а в логарифма написать, что за формулы применялись. если вы не можете написать в тетради, то тогда не решайте вообще
Приложения:

LFP:
варианты для начала лучше брать на другом известном сайте)) тут повышенный уровень сложности...
Ответы
Ответ дал:
1
Смотри............................
Приложения:

Ответ дал:
1
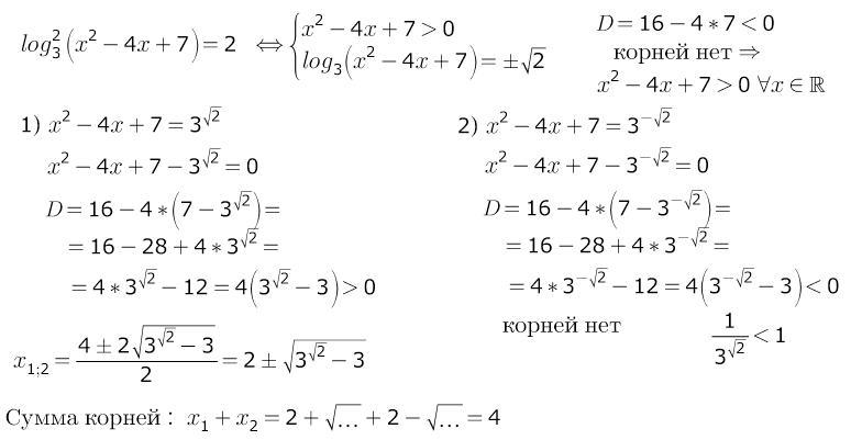
Ответ: (для логарифмического уравнения) 4
Пошаговое объяснение:
главное --не испугаться "страшных" показателей степени...
В ответ нужно записать сумму --а она очень даже приличная ("не страшная"))
задание для тренировки умения оценить знак выражения (это я про дискриминант)
Приложения:

Вас заинтересует
2 года назад
3 года назад
8 лет назад
8 лет назад
9 лет назад