ПОМОГИТЕ ПОЖАЛУЙСТА!!!
Нужно сделать эти 2 выражения.
Желательно расписать по действиям.
Очень нужно!!!Срочно!!!
Приложения:

Ответы
Ответ дал:
0
Ответ:
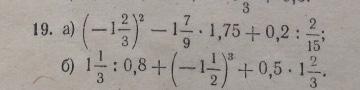
а) 1 3/18
б) -29/16
Объяснение:
а) ( -5/3)² - 16/9 × 175/100 + 2/10 : 2/15 = 25/9 - 28/9 + 3/2 = 50/18 - 56/18 + 27/18 = 21/18 = 1 3/18
б) 4/3 : 8/10 - 27/8 + 5/10 × 5/3 = 5/6 - 27/8 + 5/6 = 15/16 - 54/16 + 10/16 = - 29/16
Вас заинтересует
2 года назад
3 года назад
8 лет назад
9 лет назад
9 лет назад