Ответы
Решение и ответы на фотографии

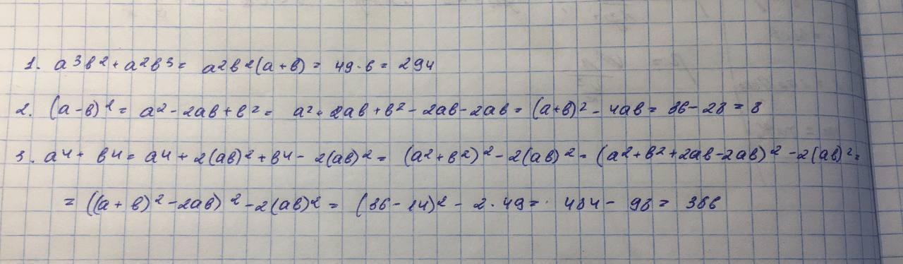
Ответ:
1) 294
2) 8
3) 386
Пошаговое объяснение:
решить систему:
а + б = 6
аб = 7
а = 6-б
(6-б)*б = 7
6б - б² = 7
-б² + 6б - 7 = 0
Д = 6² - 4*(-1)*(-7) = 36 - 28 = 8
√Д = √8 = √2³ = √2²*2 = 2√2
б₁ = (-6-2√2)/(-1*2) = (-2*(3+√2))/(-2) = 3+√2
б₂ = (-6+2√2)/(-1*2) = (-2*(3-√2))/(-2) = 3-√2
если б₁ = 3+√2, то а = 6 - (3+√2) = 6 - 3 - √2 = 3 - √2
если б₂ = 3-√2, то а = 6 - (3-√2) = 6 - 3 + √2 = 3 + √2
ответ системы уравнения: (3 - √2; 3 + √2), (3 + √2; 3 - √2)
Нахождение первого значения выражения:
1) а³б² + а²б³ = а²б² * (а + б)
Для (3 - √2; 3 + √2):
(3 - √2)² * (3 + √2)² * (3 - √2 + 3 + √2) =
= (9 - 6√2 + 2) * (9 + 6√2 + 2) * 6 =
= (11 - 6√2) * (11 + 6√2) * 6 =
= (121 - (6√2)²) * 6 =
= (121 - 72) * 6 = 49 * 6 = 294
Для (3 + √2; 3 - √2) значение будет таким же. Можно проверить самостоятельно, следуя по примеру выше.
Нахождение второго значения выражения:
2) (а-б)²
Для (3 - √2; 3 + √2)
(3 - √2 - (3 + √2))² =
= (3 - √2 - 3 - √2)² = (-2√2)² = 8
Для (3 + √2; 3 - √2) значение будет таким же. Можно проверить самостоятельно, следуя по примеру выше.
Нахождение третьего значения выражения:
3) а⁴ + б⁴
Для (3 - √2; 3 + √2)
(3 - √2)⁴ + (3 + √2)⁴ =
= 3⁴ - 4 * 3³ * √2 + 6 * 3² * (√2)² - 4 * 3 * (√2)³ + (√2)⁴ + (3 + √2)⁴ =
= 81 - 4 * 27√2 + 54 * 2 - 12 * 2√2 + 4 + (3 + √2)⁴ =
= 81 - 108√2 + 108 - 24√2 + 4 + (3 + √2)⁴ =
= 193 - 132√2 + (3⁴ + 4 * 3³ * √2 + 6 * 3² * (√2)² + 4 * 3 * (√2)³ + (√2)⁴) =
= 193 - 132√2 + (81 + 4 * 27√2 + 54 * 2 + 12 * 2√2 + 4) =
= 193 - 132√2 + (81 + 108√2 + 108 + 24√2 + 4) =
= 193 - 132√2 + (193 + 132√2) =
= 193 + 193 - 132√2 + 132√2 = 386
Для (3 + √2; 3 - √2) значение будет таким же. Можно проверить самостоятельно, следуя по примеру выше.