Ответы
Ответ дал:
1
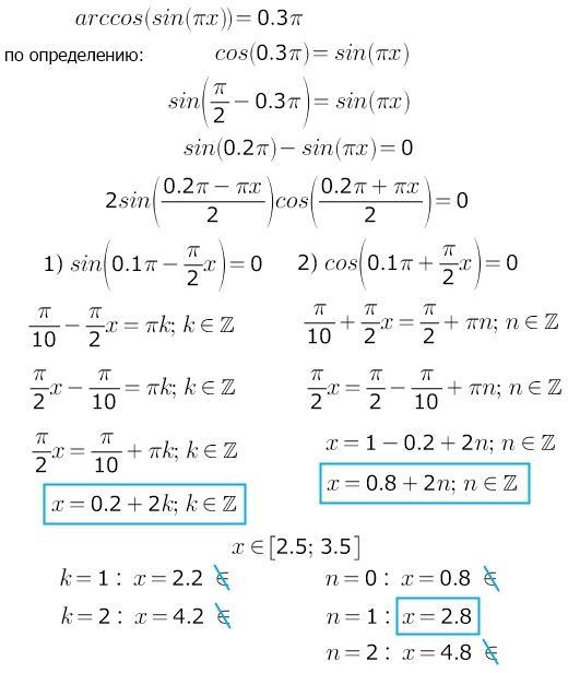
Ответ: x = 2.8
Объяснение: в файле
Приложения:

Вас заинтересует
2 года назад
2 года назад
3 года назад