• Предмет: Алгебра
  • Автор: Alexxx0013
  • Вопрос задан 8 лет назад

Упростите выражение, помогите пожалуйста ​

Приложения:

Ответы

Ответ дал: Applegate
7

Решение и ответ - на фотографии

Приложения:
Ответ дал: bb573878
3

Ответ:

Объяснение:

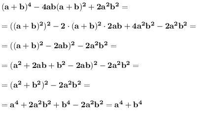
\bf(a+b)^4-4ab(a+b)^2+2a^2b^2=\\\\=((a+b)^2)^2-2\cdot(a+b)^2\cdot2ab+4a^2b^2-2a^2b^2=\\\\=((a+b)^2-2ab)^2-2a^2b^2=\\\\=(a^2+2ab+b^2-2ab)^2-2a^2b^2=\\\\=(a^2+b^2)^2-2a^2b^2=\\\\=a^4+2a^2b^2+b^4-2a^2b^2=a^4+b^4

Приложения:

Аноним: Мне помогите пожалуйста
Вас заинтересует