• Предмет: Алгебра
  • Автор: K0nam
  • Вопрос задан 8 лет назад

Помогите пожалуйста, с подробным решением

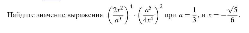
Приложения:

Ответы

Ответ дал: govorukha
0

Ответ:

9

Объяснение:

( \frac{{2x}^{4} }{ {a}^{3} } )^{4}  \times  (\frac{ {a}^{5} }{ {4x}^{4} } )^{2}  =  \frac{ {16x}^{8} }{ {a}^{12} }  \times  \frac{ {a}^{10} }{ {16x}^{8} }  =  \frac{1}{ {a}^{12} }  \times  \frac{ {a}^{10} }{1}  =  \frac{ {a}^{10} }{ {a}^{12} }  =  \frac{1}{ {a}^{2} }  =  \frac{1}{ (\frac{1}{3} )^{2} }  = 9

Вас заинтересует