• Предмет: Математика
  • Автор: KrisMaiks1
  • Вопрос задан 8 лет назад

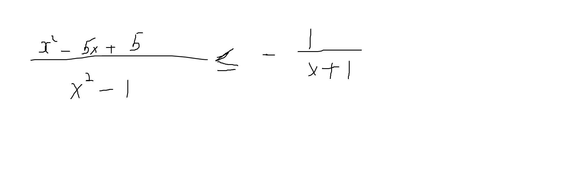
укажите число целых решений неравенств из отрезка [0:4]. Срочно помощь !

Приложения:

Ответы

Ответ дал: cdcsac
1

Пошаговое объяснение:

х = (-1; 1 ) и {2}

между [0; 4 ] ответы:0; 2

число целых решений неравенств 2

Приложения:

KrisMaiks1: уже
KrisMaiks1: в профиле глянь я выложил
KrisMaiks1: https://znanija.com/task/45153495
cdcsac: по тригонометрии?
cdcsac: скопировать ссылку не получается
KrisMaiks1: странно
KrisMaiks1: найдите значение выражения вроде тригонометрия
KrisMaiks1: я перепутал задание там типо написано известно что
KrisMaiks1: прими в друзья я тебе в личку отправлю ссылку
cdcsac: ответила
Вас заинтересует