• Предмет: Математика
  • Автор: KrisMaiks1
  • Вопрос задан 8 лет назад

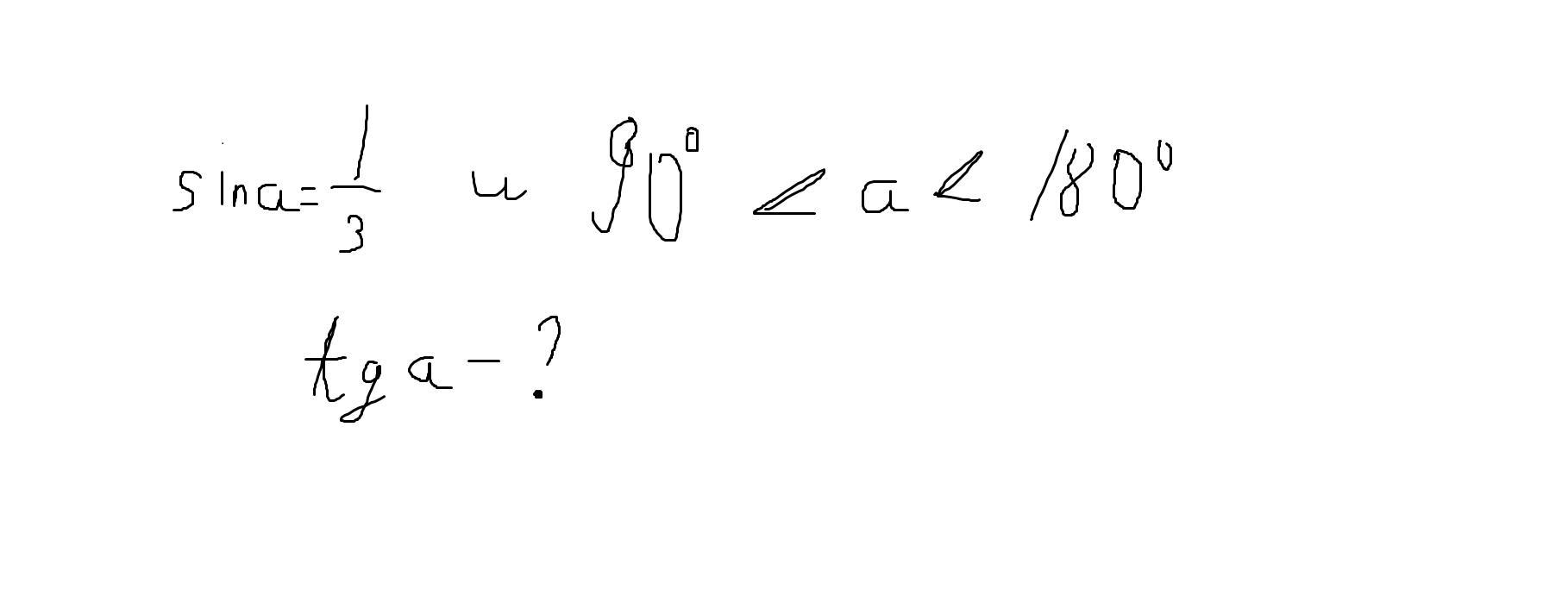
Известно что (фотка ниже)
последнее задание хелп пж

Приложения:

Ответы

Ответ дал: cdcsac
0

Пошаговое объяснение:

если что то не понятно , но можешь спросить

Приложения:

KrisMaiks1: в 2 там в конце 9-1/9?
Вас заинтересует