• Предмет: Математика
  • Автор: noward1611
  • Вопрос задан 8 лет назад

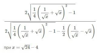
Найдите значение выражения

Приложения:

Ответы

Ответ дал: jessi0000
0

Ответ:

..,,.........

Пошаговое объяснение:

ooqpqpqpq

Вас заинтересует