• Предмет: Математика
  • Автор: malika16022010
  • Вопрос задан 8 лет назад

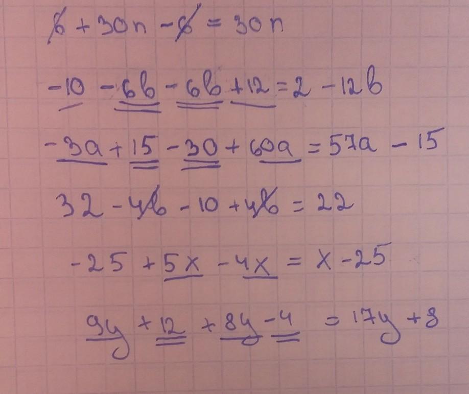
6+2(15n-3)=
-2(5+3b)-6(b-2)=
-3(a-5)-5(6+12a)=
4(8-b)-2(5-2b)=
-5(5-x)-4x=
3(3y+4)+4(2y-1)=
раскрытие скобок, срочно!

Ответы

Ответ дал: nancy505
0

Пошаговое объяснение:

1)30n

2)2-12b

3)-63a-15

4)22

5)-25+x

6)17y+8

Ответ дал: nasteyshn777
0

Ответ:

30n

2-12b

57a-15

22

x-25

17+8

Приложения:
Вас заинтересует