• Предмет: Математика
  • Автор: monuhi1649padf4k
  • Вопрос задан 8 лет назад

срочно!забыла как решать..

Приложения:

Ответы

Ответ дал: prettypushkova
2

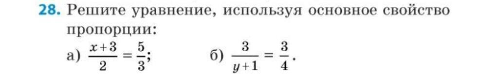
Основное свойство: произведение крайних членов пропорции равно произведению средних членов пропорции.

а) (х+3)/2 = 5/3                      б) 3/(у+1) = 3/4

(х + 3) · 3 = 2 · 5                     (у + 1) · 3 = 3 · 4

3х + 9 = 10                              (у + 1) · 3 = 12

3х = 10 - 9                               у + 1 = 12 : 3

3х = 1                                       у + 1 = 4

х = 1 : 3                                    у = 4 - 1

х = 1/3                                      у = 3


monuhi1649padf4k: Спасибо огромное!!!
Вас заинтересует