• Предмет: Математика
  • Автор: zmuhanova82
  • Вопрос задан 8 лет назад

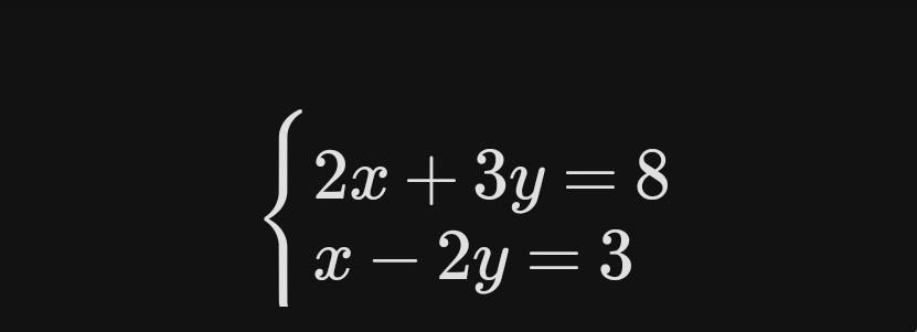
помогите я не могу решить ​

Приложения:

Ответы

Ответ дал: Соммон
0

Відповідь:

(2/7; 3 4/7)

Покрокове пояснення:

\displaystyle\left \{ {{2x+3y=8} \atop {x-2y=3}} \right. \\\left \{ {{2x+3y=8} \atop {x=2y+3}} \right.\\\left \{ {{2(2y+3)+3y=8} \atop {x=2y+3}} \right.\\\left \{ {{4y+6+3y=8} \atop {x=2y+3}} \right.\\\left \{ {{7y=2} \atop {x=2y+3}} \right.\\\left \{ {{y=\frac{2}{7} } \atop {x=2*\frac{2}{7} +3}} \right.\\\left \{ {{y=\frac{2}{7} } \atop {x=\frac{4}{7} +3}} \right.\\\left \{ {{y=\frac{2}{7} } \atop {x=3\frac{4}{7}}} \right.

Вас заинтересует