• Предмет: Математика
  • Автор: ella126reuss
  • Вопрос задан 8 лет назад

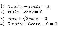
Найдите корни уравнений

Приложения:

Ответы

Ответ дал: daraprelj
2

1)\displaystyle 4sin^{2}x-sin2x=3

\displaystyle 4sin^{2}x-2sinxcosx-3*(sin^{2}x+cos^{2}x)=0

\displaystyle 4sin^{2}x-2sinxcosx-3sin^{2}x-3cos^{2}x=0

\displaystyle sin^{2}x-2sinxcosx-3cos^{2}x=0

Т.к. уравнение однородное,то мы можем поделить уравнение на cos²x≠0

\displaystyle tg^{2}x-2tgx-3=0

Пусть tgx = t, тогда

\displaystyle t^{2}-2t-3=0

\displaystyle D = (-2)^{2} -4*1*(-3)=4+12=16=4^{2}

\displaystyle t_{1}=\frac{2+4}{2*1}=\frac{6}{2}=3

\displaystyle t_{2}=\frac{2-4}{2*1}=-\frac{2}{2}=-1

Вернёмся к замене

Если t = 3, тогда

tg x = 3

x = arctg(3)+пn, n∈Z

Если t = -1, тогда

tg x = -1

x = arctg(-1)+пn

x = -п/4 + пn, n∈Z

Ответ: x = arctg(3)+пn, x = -п/4 + пn, n∈Z

2)\displaystyle sin2x-cosx=0

\displaystyle 2sinxcosx-cosx=0

\displaystyle cosx*(2sinx-1)=0

Произведение равно нулю,когда хотя бы один из множителей равен нулю

а) cos x =0

x = п/2 + пn, n∈Z

б) 2sin x - 1 = 0

sin x = 0,5

x = (-1)ⁿ*arcsin(0,5)+пn

x = (-1)ⁿ*п/6+пn, n∈Z

Ответ: x = п/2 + пn, x = (-1)ⁿ*п/6+пn, n∈Z

3)\displaystyle sinx-\sqrt{3} cosx=0|:cosx\neq 0

\displaystyle tgx=\sqrt{3}

x = arctg(√3)+пn

x = п/6 + пn, n∈Z

Ответ: x = п/6 + пn, n∈Z

4)\displaystyle 5sin^{2}x+6cosx-6=0

\displaystyle 5(1-cos^{2}x)+6cosx-6=0

\displaystyle 5-5cos^{2}x+6cosx-6=0|:(-1)

\displaystyle 5cos^{2}x-6cosx+1=0

Пусть cosx = t, -1 ≤ t ≤ 1 тогда

\displaystyle 5t^{2}+6t+1=0

\displaystyle D = 6^{2} -4*5*1=36-20=16=4^{2}

\displaystyle t_{1}=\frac{-6+4}{2*5}=-\frac{2}{10}=-0,2

\displaystyle t_{2}=\frac{-6-4}{2*5}=-\frac{10}{10}=-1

Вернёмся к замене

Если t = -0,2, тогда

cos x = -0,2

x = ±arccos(-0,2)+2пn, n∈Z

Если t = -1, тогда

cos x = -1

x = п + 2пn, n∈Z

Ответ: x = ±arccos(-0,2)+2пn, x = п + 2пn, n∈Z


daraprelj: Спасибо за благодарность на ответ,Рада была помочь. Если вас не затруднит,то в будущем отметьте данный ответ как лучший, пожалуйста
Вас заинтересует