• Предмет: Математика
  • Автор: mmmggllff
  • Вопрос задан 8 лет назад

Срочно и ясно!!!!!!!!!!

Приложения:

iramazurk: Я только что решила тебе это задание

Ответы

Ответ дал: prettypushkova
1

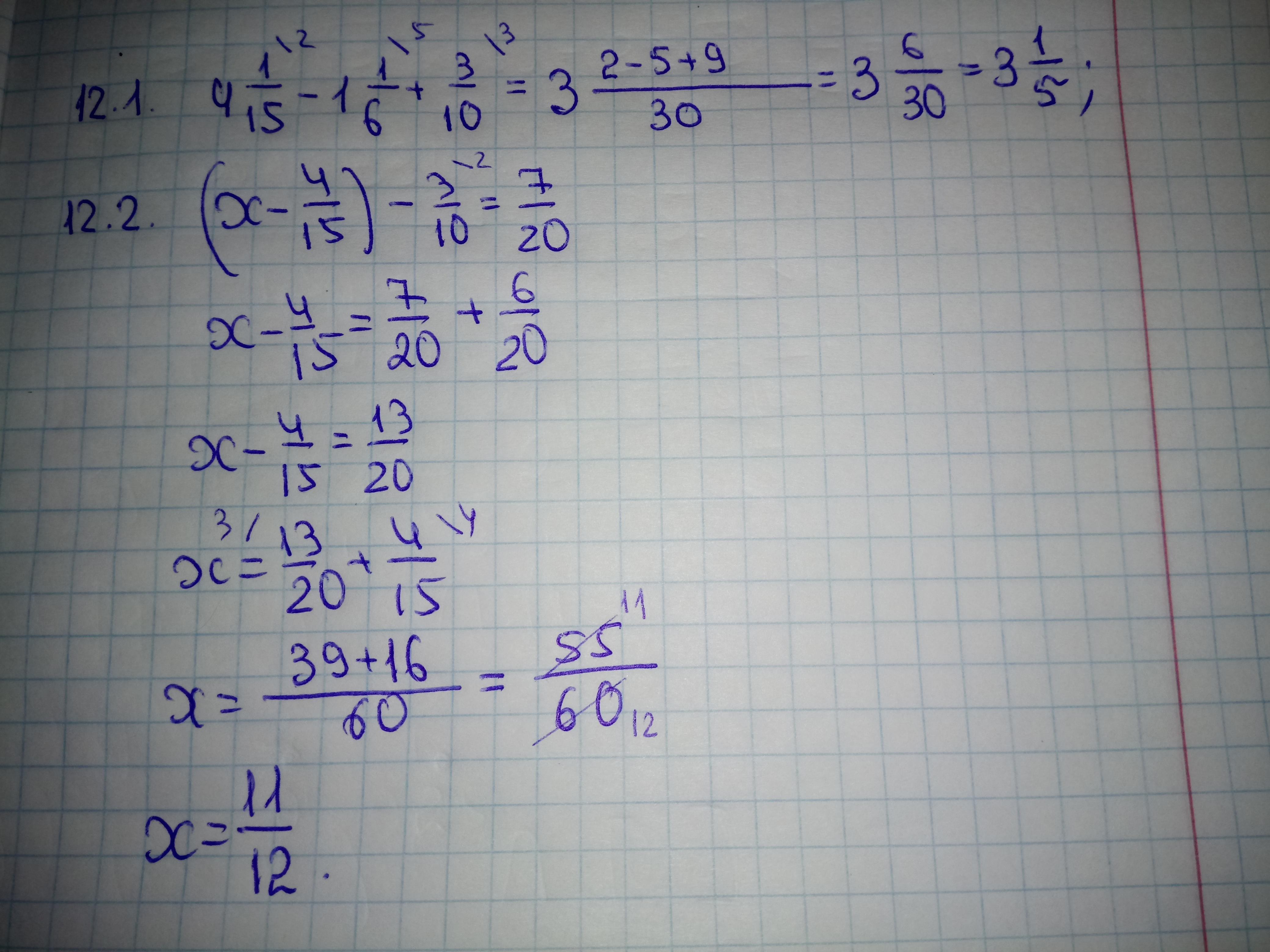
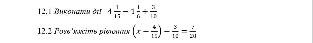
4 1/15 - 1 1/6 + 3/10 = 3 1/5

1) 4 1/15 - 1 1/6 = 4 2/30 - 1 5/30 = 3 32/30 - 1 5/30 = 2 27/30 = 2 9/10

2) 2 9/10 + 3/10 = 2 12/10 = 3 2/10 = 3 1/5

Ответ: 3 целых 1/5.

- - - - - - - - - - - - - - - - -

(х - 4/15) - 3/10 = 7/20

х - 4/15 = 7/20 + 3/10

х - 4/15 = 7/20 + 6/20

х - 4/15 = 13/20

х = 13/20 + 4/15

х = 39/60 + 16/60

х = 55/60

х = 11/12 - сократили на 5

Ответ: 11/12.

Ответ дал: Аноним
0

Відповідь: фото

Покрокове пояснення:

Приложения:
Вас заинтересует