• Предмет: Алгебра
  • Автор: TRYLATER
  • Вопрос задан 8 лет назад

помогите пожалуйста, даю 50 баллов​

Приложения:

Ответы

Ответ дал: Matematiktm
0

Ответ:

Объяснение:

resheno

Приложения:
Ответ дал: sangers1959
0

Ответ:

Объяснение:

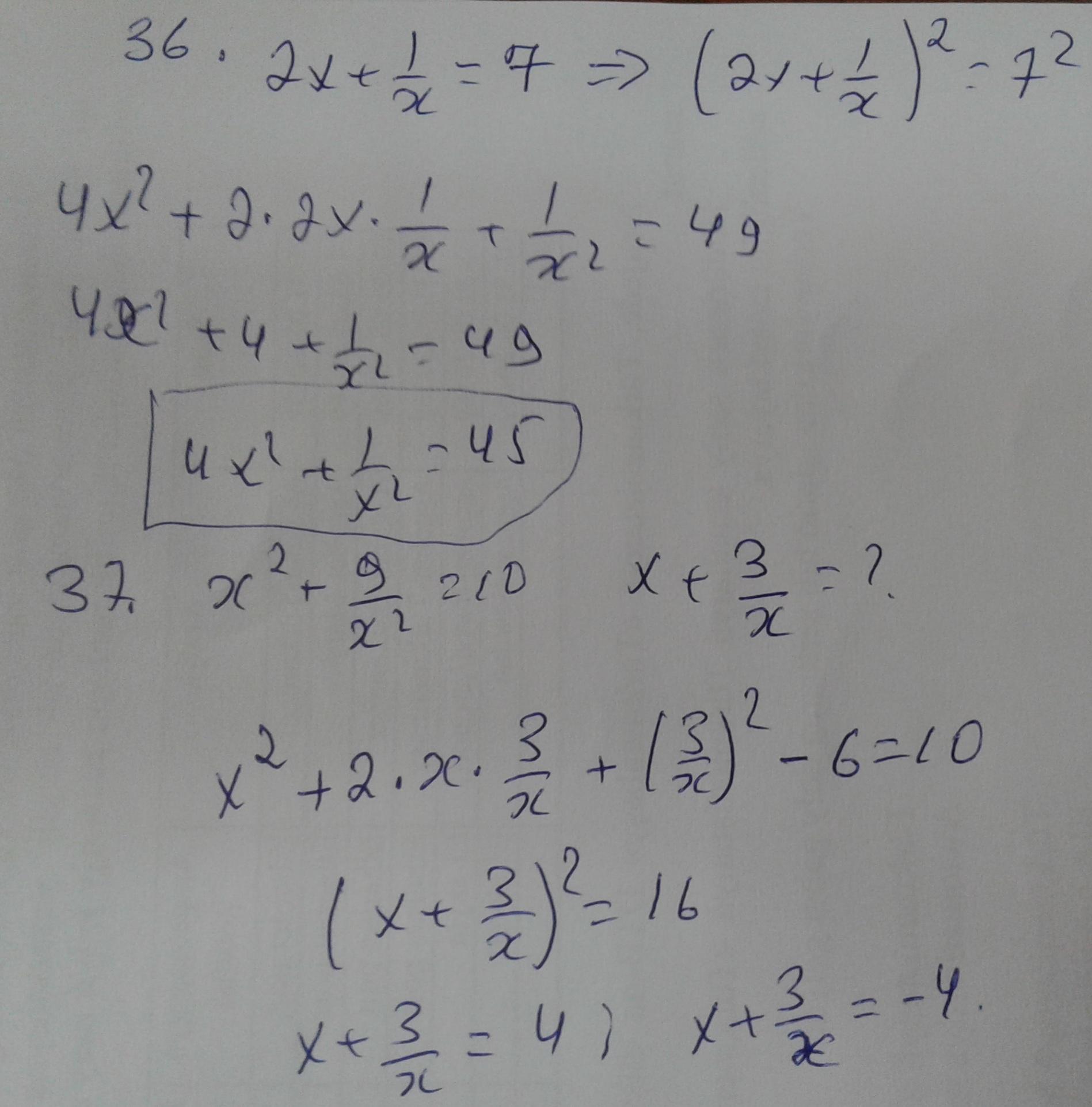
36.

2x+\frac{1}{x} =7\\(2x+\frac{1}{x})^2 =7^2\\(2x)^2+2*2x*\frac{1}{x}+(\frac{1}{x})^2=49\\4x^2+4+\frac{1}{x^2} =49\\4x^2+\frac{1}{x^2} =45.

37.

x^2+\frac{9}{x^2} =10\\x^2+\frac{9}{x^2} +6=10+6\\ x^2+2*x*\frac{3}{x}+(\frac{3}{x})^2=16\\(x+\frac{3}{x})^2=4^2\\\sqrt{(x+\frac{3}{x} )^2} =\sqrt{4^2}   \\|x+\frac{3}{x}|=4\ \ \ \ \ \Rightarrow\\\left \{ {{x+\frac{3}{x}=4 } \atop {x+\frac{3}{x}=-4 }} \right. .


Аноним: А)
Найдите значение неизвестной переменной x и значение угла Б)
Выполните следующие задачи, используя рисунок 4.
1)Определите вертикальный угол к ∠ GAL
2) Если ∠GAL=140 , то найдите градусное значение ∠FAB

Если не видно буквы,я сама на красном нарисовала буквы.И в самой середине буква А есть.Если что-то не видно то скажите.​
Аноним: МНЕ ПОМОГИТЕ ПОЖАЛУЙСТА
Вас заинтересует