Ответы
Ответ дал:
2
При
Ответ:
________________________________________
egorsaraev364:
Спасибо!)
Ответ дал:
6
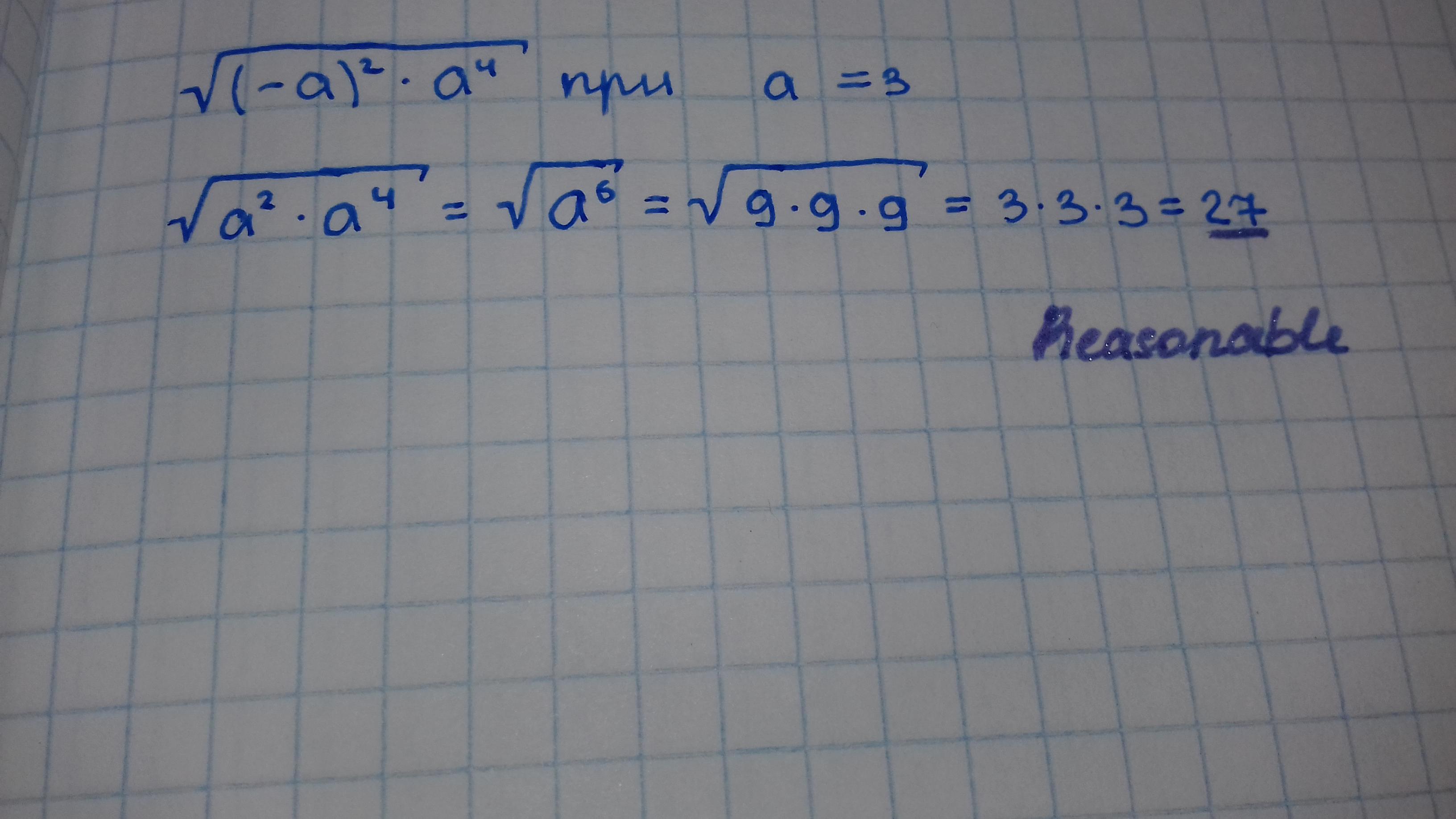
Решение и ответ - на фотографии
Приложения:

Вас заинтересует
2 года назад
2 года назад
3 года назад
3 года назад
8 лет назад
8 лет назад
9 лет назад