При каких значениях параметра а уравнение х+2=а|х-1| имеет единичнное решение? Найдите это решение
ПОМОГИТЕ СРОЧНО НУЖНО!!!!
antonovm:
там ещё есть 2 геометрических решения , но картинки всегда хуже аналитики ( хотя иногда и проще )
Ответы
Ответ дал:
1
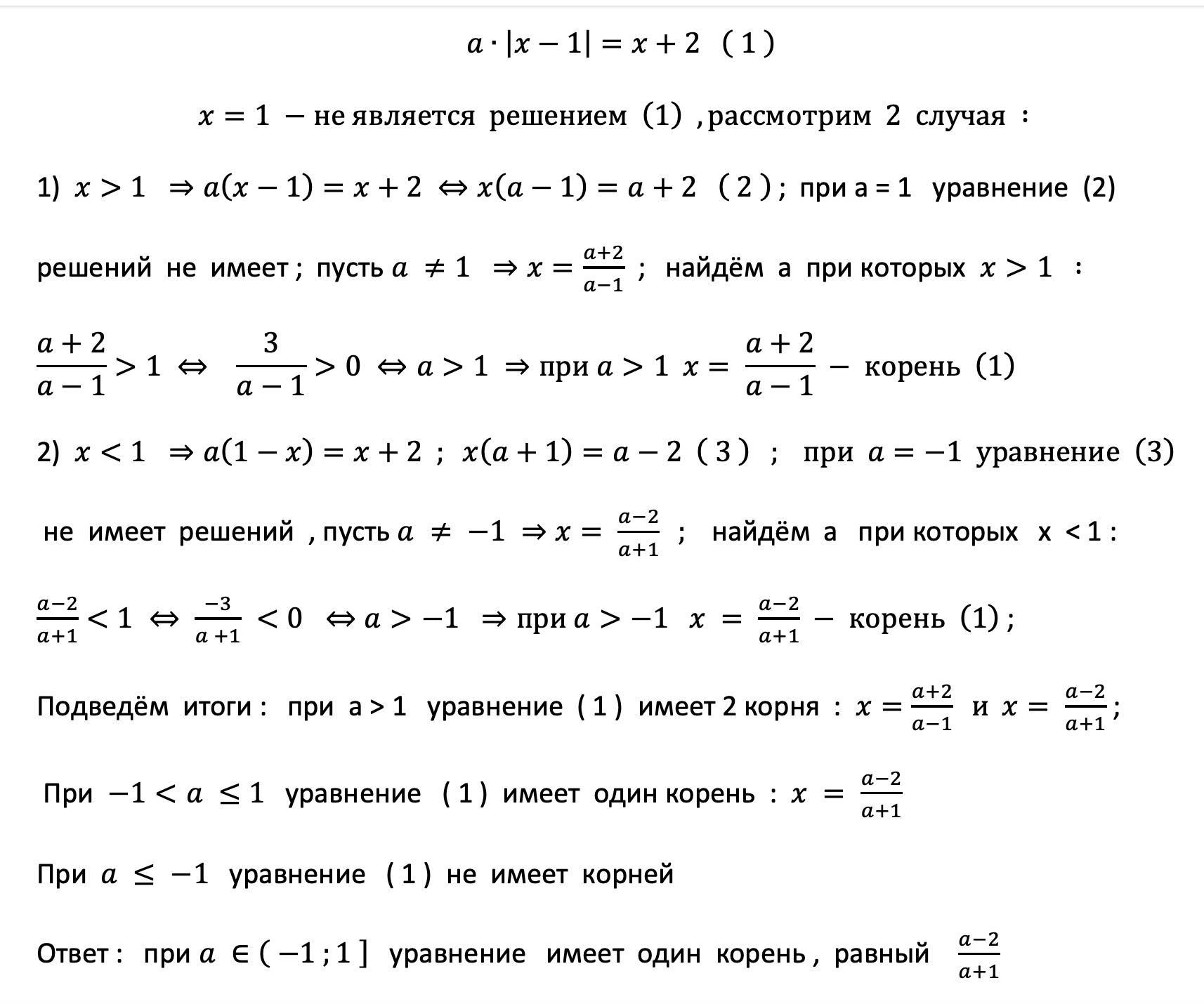
Ответ:
////////////////////////////////////////////////
Объяснение:
Приложения:


Вас заинтересует
2 года назад
3 года назад
8 лет назад
8 лет назад
9 лет назад