Ответы
Ответ дал:
2
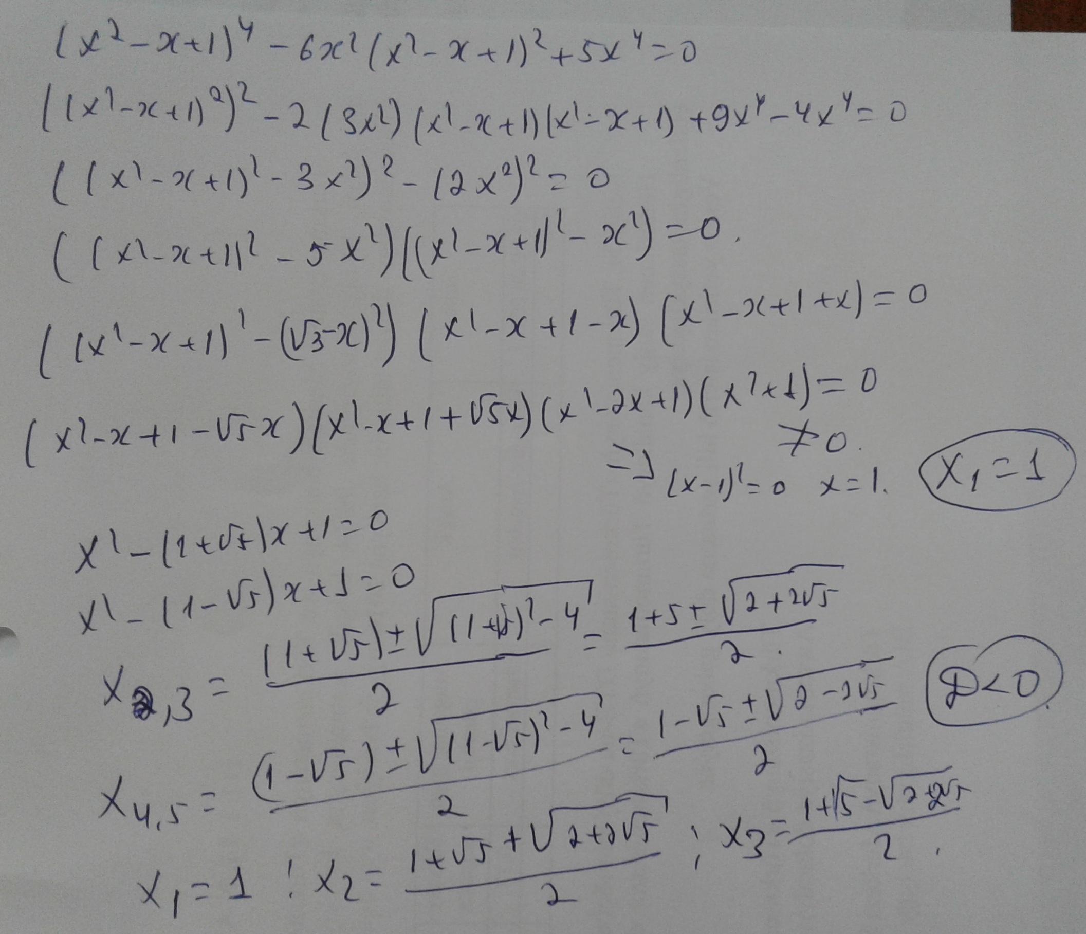
Ответ:
Объяснение:
resheno
Приложения:

Вас заинтересует
2 года назад
3 года назад
3 года назад
8 лет назад
8 лет назад
9 лет назад