Ответы
Ответ дал:
3
Ответ:
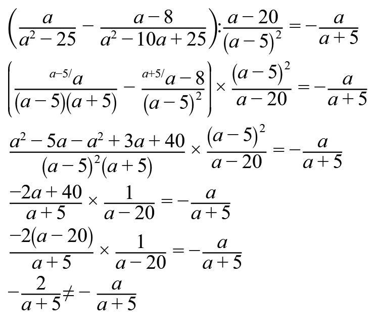
Объяснение:
...................//////////////
Приложения:

Вас заинтересует
2 года назад
2 года назад
3 года назад
8 лет назад
9 лет назад