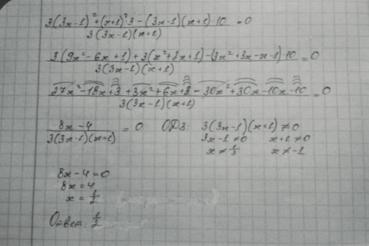
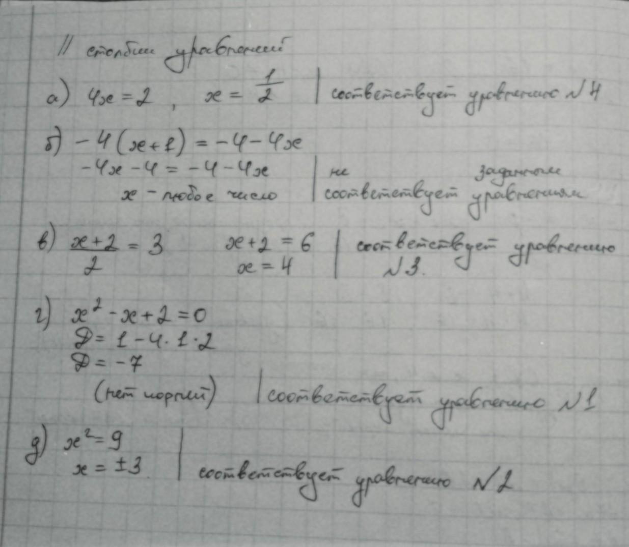
Помогите решить задание( обязательно использовать теорему Виета). Сначало нужно решить с левой стороны, потом с правой, и соединить)
Приложения:

Ответы
Ответ дал:
1
Решение на листочке ↑↓ ...
Приложения:



Вас заинтересует
2 года назад
2 года назад
3 года назад
3 года назад
8 лет назад
8 лет назад
9 лет назад