Ответы
Ответ дал:
3
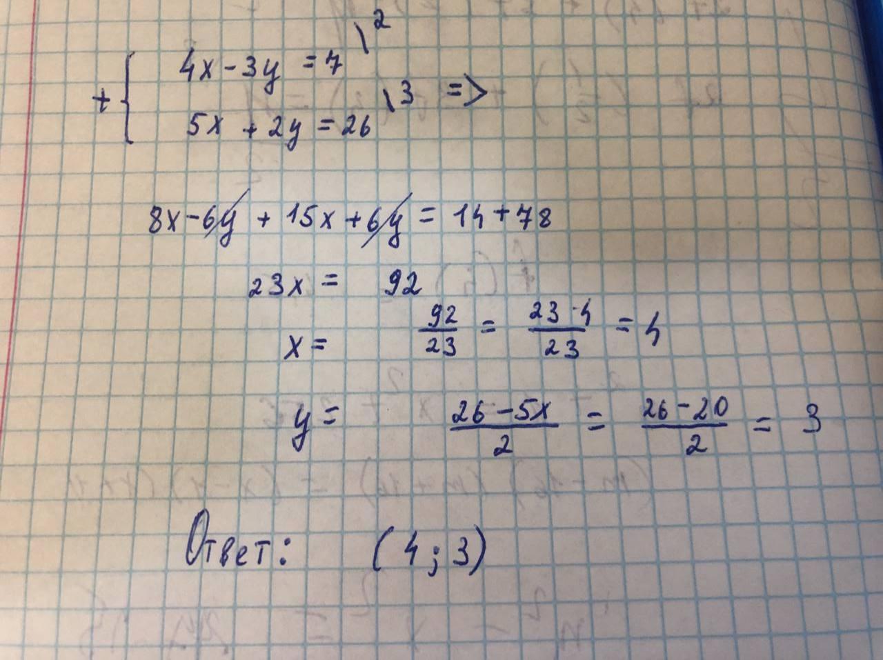
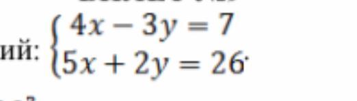
Ответ:
Объяснение:
Ответ дал:
1
Ответ:\\\\\\\\\\\\\\
Объяснение:
Приложения:

Вас заинтересует
2 года назад
3 года назад
8 лет назад
8 лет назад
9 лет назад