• Предмет: Математика
  • Автор: Аноним
  • Вопрос задан 8 лет назад

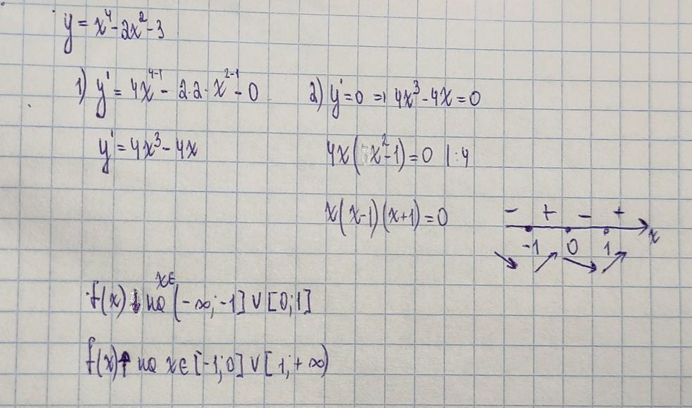
Привет! Найдите промежутки возрастания и убывания функции
y=x^{4} -2x^{2} -3

Ответы

Ответ дал: MatrixOfsciences
1

Пошаговое объяснение:

Решение представлено на фото)

Приложения:

Аноним: Спасибо!
Аноним: Извини, а зачем 0 нужен, у нас же получились точки -1:1. Их недостаточно?
MatrixOfsciences: у нас 0 это тоже отдельная точка
Аноним: https://znanija.com/task/45157387, а почему тут 0 нет?
MatrixOfsciences: Нам надо найти такие Х, чтобы выражение х(х-1)(х+2) = 0
MatrixOfsciences: там же не выносили Х за скобку. Это разные выражения
Аноним: все, понял в чем тупанул, спасибо, матрикс
MatrixOfsciences: не за что)
Вас заинтересует