Ответы
Ответ дал:
0
Ответ:
Объяснение:
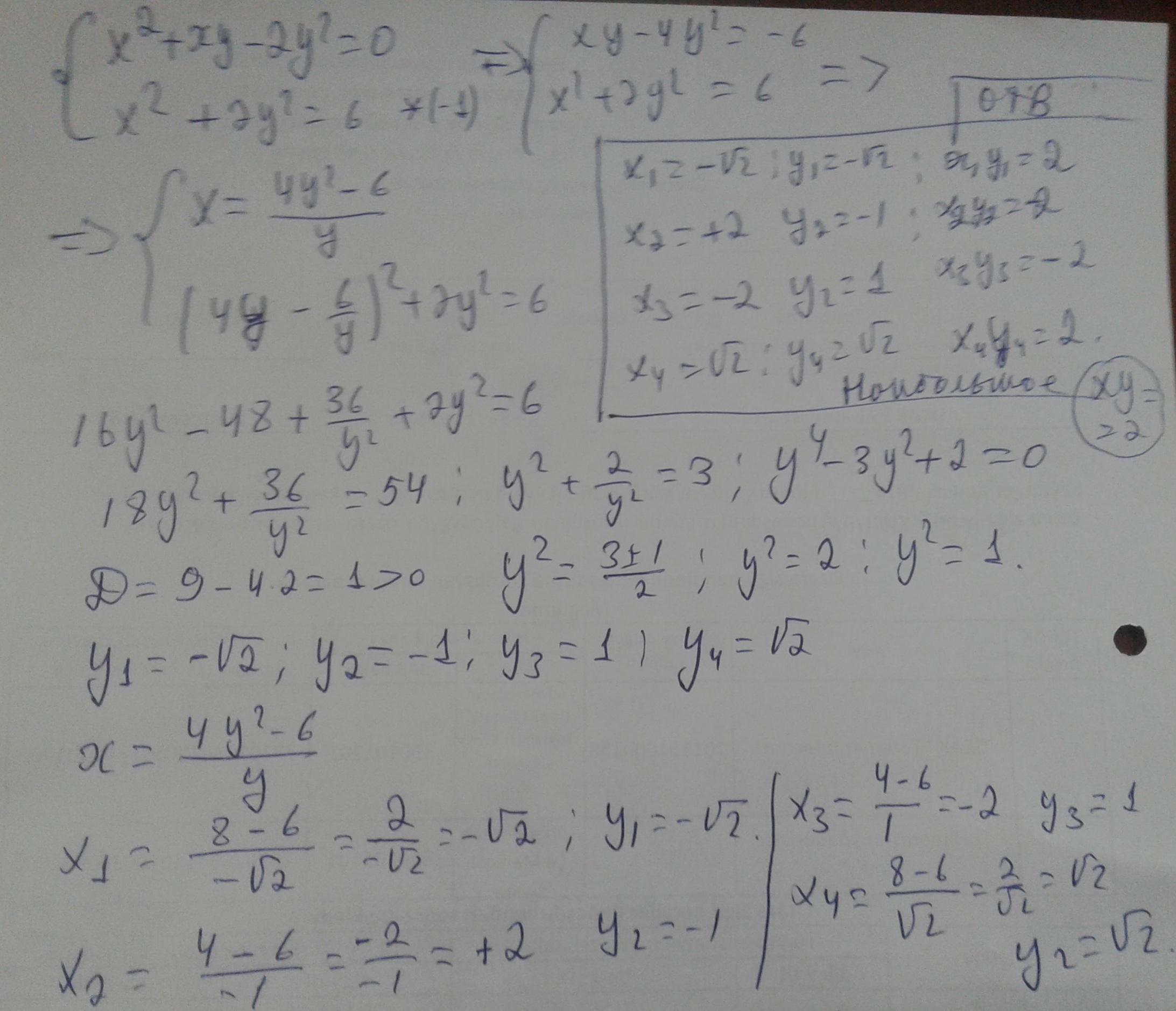
x*y=2
Приложения:

Аноним:
а что за 2 действие у вас ????
Вас заинтересует
2 года назад
3 года назад
3 года назад
8 лет назад
8 лет назад
9 лет назад